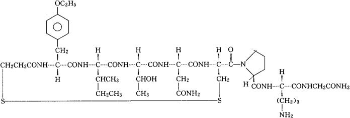
阿托西班
C43H67N11O12S2=994.19 CAS-90779-69-4 1-(3-巯基丙酸)-2-(邻-乙基-D-酪氨酸)-4-L-苏氨酸-8-L-鸟氨酸催产素。 Oxytocin,1-(3-mercaptopropanoic acid)-2-(o-ethylD-tyrosine)-4-L-threonino-8-L-ornithine. 1-(3-巯基丙酸)-2-[3-(对-乙氧苯基)-D-丙氨酸]-4-L-苏氨酸-8-L-鸟氨酸催产素。 1-(3-mercaptopropionic acid)-2-[3-(p-ethoxyphenyl)-D-alanine]-4-L-threonine-8-L-ornithineoxytocin. 催产素拮抗药。 阿托西伴。 Atosiban,ORF 22164,RWJ 22164. INN,USAN. 
|