网站首页  词典首页


请输入您要查询的字词:

 

字词 阿普拉霉素
类别 中英文字词句释义及详细解析
释义 阿普拉霉素

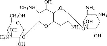
C21H41N5O11=539.58

CAS-37321-09-8

4-O-[(8R)-2-氨基-8-O-(4-氨基-4-脱氧-α-D-葡萄吡喃糖基)-2,3,7-三脱氧-7-(甲胺基)-D-甘油基-α-D别-辛二醛基-1,5∶8,4-二吡喃糖-1-基]-2-脱氧-D链霉胺。

4-O-[(8R-2-Amino-8-O-(4-amino-4-deoxy-α-D-gluco-pyranosyl)-2,3,7-trideoxy-7-(methylamino)-Dglycero-α-D-allo-octodialdo-l,5∶8,4-dipyranos-1-yl]-2-deoxy-D-streptamine.

抗生素类药。

阿普霉素。

Apramycin,Apralan.

INN,USAN,MI.

随便看

 

离鸟网收录3541549条中英文词条,其功能与新华字典、现代汉语词典、牛津高阶英汉词典等各类中英文词典类似,基本涵盖了全部常用中英文字词句的读音、释义及用法,是语言学习和写作的有利工具。

 

Copyright © 2004-2024 vtrois.com All Rights Reserved
更新时间:2026/4/7 20:58:47