网站首页  词典首页


请输入您要查询的字词:

 

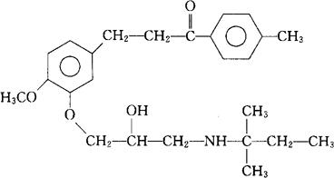
字词 阿普苯酮
类别 中英文字词句释义及详细解析
释义 阿普苯酮

C25H35NO4=413.56

CAS-124316-02-5

(±)-3-[3-[2-羟基-3-(叔-戊氨基)丙氧基]-4-甲氧苯基]-4′-甲基丙苯酮。

(±)-3-[3-[2-Hydroxy-3-(tert-pentylamino)propoxy]-4-methoxyphenyl]-4′-methylpropio-phenone.

抗心律失常药。

Alprafenone.

INN,USAN.

随便看

 

离鸟网收录3541549条中英文词条,其功能与新华字典、现代汉语词典、牛津高阶英汉词典等各类中英文词典类似,基本涵盖了全部常用中英文字词句的读音、释义及用法,是语言学习和写作的有利工具。

 

Copyright © 2004-2024 vtrois.com All Rights Reserved
更新时间:2026/4/9 8:12:52