网站首页  词典首页


请输入您要查询的字词:

 

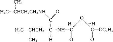
字词 阿洛司他丁
类别 中英文字词句释义及详细解析
释义 阿洛司他丁

C17H30N2O5=342.44

CAS-88321-09-9

(+)-(2S,3S)-2,3-环氧-N-[(S)-1-(异戊基氨甲酰基)-3-甲基丁基]-琥珀酰胺酸乙酯。

Ethyl(+)-(2S,3S)-2,3-epoxy-N-[(S)-1-(isopenthylcarbamoyl)-3-methylbutyl]-succinamate.

蛋白酶抑制药。

Aloxistatin.

INN,USAN.

随便看

 

离鸟网收录3541549条中英文词条,其功能与新华字典、现代汉语词典、牛津高阶英汉词典等各类中英文词典类似,基本涵盖了全部常用中英文字词句的读音、释义及用法,是语言学习和写作的有利工具。

 

Copyright © 2004-2024 vtrois.com All Rights Reserved
更新时间:2026/5/25 22:56:34