网站首页  词典首页


请输入您要查询的字词:

 

字词 阿洛西克
类别 中英文字词句释义及详细解析
释义 阿洛西克

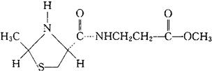
C9H16N2O3S=232.30

CAS-105292-70-4

N-[[(2RS,4R)-2-甲基-4-噻唑烷基]羰基]-β-丙氨酸,甲酯。

N-[[(2RS,4R)-2-Methyl-4-thiazolidinyl]carbonyl]-β-alanine,methyl ester.

保肝药。

Alonacic.

INN,USAN.

随便看

 

离鸟网收录3541549条中英文词条,其功能与新华字典、现代汉语词典、牛津高阶英汉词典等各类中英文词典类似,基本涵盖了全部常用中英文字词句的读音、释义及用法,是语言学习和写作的有利工具。

 

Copyright © 2004-2024 vtrois.com All Rights Reserved
更新时间:2026/4/7 8:43:33