网站首页  词典首页


请输入您要查询的字词:

 

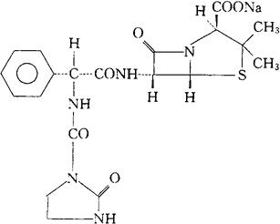
字词 阿洛西林钠
类别 中英文字词句释义及详细解析
释义 阿洛西林钠

C20H22N5NaO6S=483.47

CAS-37091-65-9

CAS-37091-66-0(azlocillin)

[2S-[2α,5α,6β(S*)]]-3,3-二甲基-7-氧代-6-[[[[(2-氧代-1-咪唑烷基)羰基]氨基]苯乙酰基]氨基]-4-硫杂-i-氮杂双环[3.2.0]庚烷-2-羧酸单钠盐。

(2S-[2α,5α,6β(S*)]]-3,3-Dimethyl-7-oxo-6-[[[[(2-oxo-1-imidazolidinyl)carbonyl]amino]phenylacetyl]amino]-4-thia-1-azabicyclo[3.2.0]heptane-2-carboxylic acid,monosodium,salt.

(2S,5R,6R)-3,3-二甲基-7-氧化-6-[(R)-2-(2-氧代-1-咪唑烷甲酰胺基)-2-苯基乙酰胺基]-4-硫杂-1-氮杂双环[3.2.0]庚烷-2-羧酸钠盐。

Sodium(2s,5R,6R)-3,3-dimethyl-7-oxo-6-[(R)-2-(2-oxo-1-imidazolidinecarboxamido)-2-phenyl-acetamido]-4-thia-1-azabcyclo[3.2.0]heptane-2-carboxylate.

抗生素类药。

咪氨苄西林钠。

Azlocillin Sodium,Azcocillin.

USAN,USP.

随便看

 

离鸟网收录3541549条中英文词条,其功能与新华字典、现代汉语词典、牛津高阶英汉词典等各类中英文词典类似,基本涵盖了全部常用中英文字词句的读音、释义及用法,是语言学习和写作的有利工具。

 

Copyright © 2004-2024 vtrois.com All Rights Reserved
更新时间:2026/4/7 2:44:48