网站首页  词典首页


请输入您要查询的字词:

 

字词 阿米三嗪
类别 中英文字词句释义及详细解析
释义 阿米三嗪

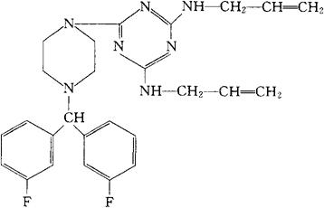
C26H29F2N7=477.56

CAS-27469-53-0

2,4-双(烯丙氨基)-6-[4-[双(对-氟苯基)甲基]-1-哌嗪基]-均-三嗪。

2,4-Bis(allylamino)-6-[4-[bis(p-fluorophenyl)methyl]-1-piperazinyl]-s-triazine.

6-[4-[双(4-氟苯基)甲基]-1-哌嗪基]-N,N-二-2-丙烯基-1,3,5-三嗪-2,4-二胺。

6-[4-(bis[4-Fluorophenyl)methyl]-1-piperazinyl]-N,N-di-2-propenyl-1,3,5-triazine-2,4-diamine.

中枢兴奋药,呼吸兴奋药。

烯丙哌三嗪,阿米启。

Almitrine,S 2620,SE5023,Vectarion.

INN,BAN,USAN.

随便看

 

离鸟网收录3541549条中英文词条,其功能与新华字典、现代汉语词典、牛津高阶英汉词典等各类中英文词典类似,基本涵盖了全部常用中英文字词句的读音、释义及用法,是语言学习和写作的有利工具。

 

Copyright © 2004-2024 vtrois.com All Rights Reserved
更新时间:2026/4/7 14:59:39