网站首页  词典首页


请输入您要查询的字词:

 

字词 阿米氯醛
类别 中英文字词句释义及详细解析
释义 阿米氯醛

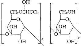
(C8H11Cl3O6)x(C6H10O5)y

CAS-34398-83-9

6-O-(2,2,2-三氯-1-羟乙基)α-D-吡喃葡萄糖与α-D吡喃萄葡糖的聚合物(1→4)。

6-O-(2,2,2-Trichloro-l-hydroxyethyl)-α-D-glucopyranose(1→4)polymer with α-D-glucopyranose.

食物添加剂(兽医)。

Amicloral,SK&F 39186.

USAN.

随便看

 

离鸟网收录3541549条中英文词条,其功能与新华字典、现代汉语词典、牛津高阶英汉词典等各类中英文词典类似,基本涵盖了全部常用中英文字词句的读音、释义及用法,是语言学习和写作的有利工具。

 

Copyright © 2004-2024 vtrois.com All Rights Reserved
更新时间:2026/4/7 6:39:18