网站首页  词典首页


请输入您要查询的字词:

 

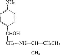
字词 阿米特罗
类别 中英文字词句释义及详细解析
释义 阿米特罗

C12H20N2O=208.30

CAS-54063-25-1

DL-对-氨基-α-[(仲-丁氨基)甲基]苯甲醇。

DL-p-Amino-α-[(sec-butylanimo)methyl]benzyl alcohol.

支气管扩张药。

阿米特罗。

Amiterol.

INN,USAN.

随便看

 

离鸟网收录3541549条中英文词条,其功能与新华字典、现代汉语词典、牛津高阶英汉词典等各类中英文词典类似,基本涵盖了全部常用中英文字词句的读音、释义及用法,是语言学习和写作的有利工具。

 

Copyright © 2004-2024 vtrois.com All Rights Reserved
更新时间:2026/4/8 14:19:27