网站首页  词典首页


请输入您要查询的字词:

 

字词 阿米诺喹
类别 中英文字词句释义及详细解析
释义 阿米诺喹

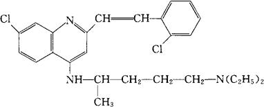
C26H31Cl2N3=456.46

CAS-10023-54-8

7-氯-2-(邻-氯-苯乙烯基)-4-[[4-(二乙氨基)-1-甲基丁基]氨基]喹啉。

7-Chloro-2-(o-chloro-styryl)-4-[[4-(diethylamino)-1-methylbutyl]amino]-quinoline.

抗菌药。

Aminoquinol.

INN,USAN,MI.

随便看

 

离鸟网收录3541549条中英文词条,其功能与新华字典、现代汉语词典、牛津高阶英汉词典等各类中英文词典类似,基本涵盖了全部常用中英文字词句的读音、释义及用法,是语言学习和写作的有利工具。

 

Copyright © 2004-2024 vtrois.com All Rights Reserved
更新时间:2026/5/31 23:54:56