网站首页  词典首页


请输入您要查询的字词:

 

字词 阿维扎封
类别 中英文字词句释义及详细解析
释义 阿维扎封

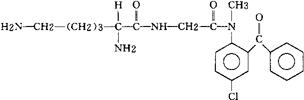
C22H27ClN4O3=430.93

CAS-65617-86-9

2′-苯甲酰基-4′-氯-2-[(S)-2,6-二氨基己酰胺基]-N-甲基-乙酰苯胺。

2′-Benzoyl-4′-chloro-2-[(S)-2,6-diaminohexanamido]-N-methylacetanilide.

催眠镇静药。

Avizafone,Ro 03-7355/000.

INN,BAN,USAN.

随便看

 

离鸟网收录3541549条中英文词条,其功能与新华字典、现代汉语词典、牛津高阶英汉词典等各类中英文词典类似,基本涵盖了全部常用中英文字词句的读音、释义及用法,是语言学习和写作的有利工具。

 

Copyright © 2004-2024 vtrois.com All Rights Reserved
更新时间:2026/5/25 15:11:57