网站首页  词典首页


请输入您要查询的字词:

 

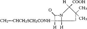
字词 阿美西林
类别 中英文字词句释义及详细解析
释义 阿美西林

C13H18N2O4S2=330.42

CAS-87-09-2

3,3-二甲基-7-氧-6-[[(2-丙烯基硫代)乙酰基]氨基]-4-硫杂-1-氮杂双环[3.2.0]庚烷-2-羧酸。

3,3-Dimethyl-7-oxo-6-[[(2-propenylthio)acetyl]amino]-4-thia-1-azabicyclo[3.2.0]-heptane-2-carboxylic acid.

烯丙基硫甲基青霉素。

Allylthiomethyl penicillin.

抗生素类药。

青霉素O。

Almecillin,Penicillin O,Cer-O-Cillin,Penicillin AT.

INN,USAN.

随便看

 

离鸟网收录3541549条中英文词条,其功能与新华字典、现代汉语词典、牛津高阶英汉词典等各类中英文词典类似,基本涵盖了全部常用中英文字词句的读音、释义及用法,是语言学习和写作的有利工具。

 

Copyright © 2004-2024 vtrois.com All Rights Reserved
更新时间:2026/4/7 13:29:27