网站首页  词典首页


请输入您要查询的字词:

 

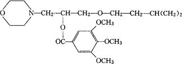
字词 阿莫罗酯
类别 中英文字词句释义及详细解析
释义 阿莫罗酯

C22H35NO7=425.52

CAS-22661-76-3

α-(异戊基氧甲基)-4-吗啉乙醇3,4,5-三甲氧基苯甲酸酯。

α-(Isopentyloxymethyl)-4-morpholineethanol 3,4,5-trimethoxybenzoate(ester).

冠脉扩张药。

阿莫普生。

Amoproxan,CERM 730.

INN,DCF,USAN,MI.

随便看

 

离鸟网收录3541549条中英文词条,其功能与新华字典、现代汉语词典、牛津高阶英汉词典等各类中英文词典类似,基本涵盖了全部常用中英文字词句的读音、释义及用法,是语言学习和写作的有利工具。

 

Copyright © 2004-2024 vtrois.com All Rights Reserved
更新时间:2026/4/7 18:33:18