阿达星
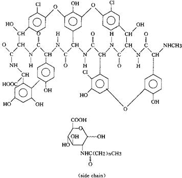
C81H82Cl4N8O30(Aridicin A),C82H84Cl4N8O30(Aridicin B),C83H86Cl4N8O30(Aridicin C),C83H86CI4N8O30(aridicin C2)=7227.69 为阿立地辛A,阿立地辛B,阿立地辛C和阿立地辛C2的混合物,阿立地辛C2是由Kibdelosporangium aridum属,ATCC 39323菌株,(产生)的糖肽抗生素。 A mixture of aridicin A,aridicin B,aridicin C andaridicin C2,the latter are glucopeptide antibiotics derived from anew species of the genus Kibdelosporangium aridum,strain ATCC 39323. 抗生素类药。 Ardacin. INN,USAN.  |