网站首页  词典首页


请输入您要查询的字词:

 

字词 降水相对变率
类别 中英文字词句释义及详细解析
释义 降水相对变率

简称降水变率。

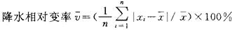
表示降水量年际变化程度的特征量。它是表示某地在某个时期(年、季或月)内,降水量距平绝对值的算术平均数对于平均降水量的百分比。如以表示n年内的平均降水量,x1,x2,…,表示某年的降水量,则

式中d为绝对变率(见“降水绝对变率”),亦即为降水绝对变率对平均降水量的百分比。

相对变率愈大,表示该地降水量年际变化愈大,降水愈不稳定,对农业生产不利。

降水相对变率除了可用来说明某地降水量长年变动的大小,还可用以比较不同地方同一时期历年降水量的变化程度。

随便看

 

离鸟网收录3541549条中英文词条,其功能与新华字典、现代汉语词典、牛津高阶英汉词典等各类中英文词典类似,基本涵盖了全部常用中英文字词句的读音、释义及用法,是语言学习和写作的有利工具。

 

Copyright © 2004-2024 vtrois.com All Rights Reserved
更新时间:2026/4/8 13:01:10