降温器的计算
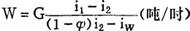
1 降温水量的计算  式中 G——需要降温的蒸汽量(吨/时) i1——降温前的蒸汽热焓(千卡/公斤) i2——降温后的蒸汽热焓(千卡/公斤) φ——在饱和温度下,在降温器内未被吸收而引出的水分,一般为0.1~0.2 iw——喷入降温设备内热水的热焓(千卡/公斤) 2 喷淋降温器上眼孔的面积计算  式中 b——考虑到由于眼孔积盐垢而可能发生的通道面积减小现象的安全系数,其值可取为1.5 W——降温水量(公斤/时) g——重力加速度9.81(米/秒2) a——流量系数,可取为0.4~0.5 ⊿p——给水与蒸汽间的压差(公斤/米2) γ——给水的容重(公斤/米3) 3 降温套筒内眼孔的数量计算  式中 d——眼孔直径(米) F——眼孔面积(米2) 4 供给降温器给水的水管管径计算  式中 C0——给水流速,一般为2~4(米/秒) W——降温水量(公斤/时) γ——给水的容重(公斤/米3) |