限流式网槽设计计算实例
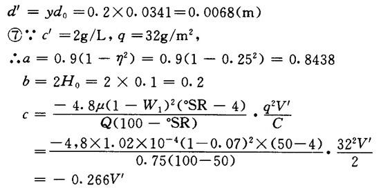
【例】 如图1-16-10所示,已知限流式网槽的网笼直径D=1.25m,抄宽Bm=2.10m,网槽宽BV=2.22m,网内真空度H0=0.1m,网内外水位比η=0.25,单网定量q=80g/m2,水分ω1=7%,进浆浓度C=4g/L,要求网速V=50m/min=0.833m/s,浆料打浆度为50°SR,浆网速比Φ=0.86,假定纤维上网率Q=0.75,试计算: ❶ 生产能力; ❷ 成形弧长L; ❸ 总成形角θ; ❹ 所需绝干纤维G; ❺ 总进浆量M; ❻ 成形区进出口宽度d0、d′; ❼ 若用本例算得的限流式网槽,代替普通的活动弧形板式网槽,进浆浓度C=2g/L,生产32g/m2的薄页纸,其它条件不变时,试计算其车速可达到多少?   代入方程aL2+bL+c=0得: 0.8438×0.7952+0.2×0.795-0.266V′=0 0.5333+0.159=0.266V′ 故:V′=2.60(m/s)=156(m/min) |