陡度法
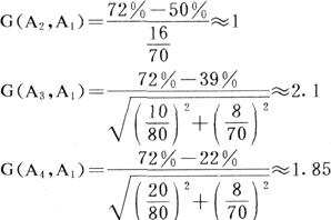
两点的试验结果(函数值)之差与这两点的距离之比叫陡度。 设有一个双因素问题,我们在A1(x1,y1)和A2(x1+λ1,y1+λ1)两点做2个试验,得到的试验结果为Z1和Z2(见图1),A1到A2方向的陡度为: 以温度因素和氮气流量因素对硼扩散的影响为例,说明陡度法的应用。 温度和氮气流量影响的衡量指标是成品率。 温度变化范围是900-980℃ 氮气流量在30-100个泡/分钟 从现生产采用的条件点A0(930℃,65个泡/分)周围选A1、A2、A3和A44个点,试验结果为: A1(930,57)∶Z=72% A2(930,73)∶Z2=50% A3(920,65)∶Z3=39% A4(950,65)∶Z4=22% 各点间的陡度为  (见图2),可见G(A3,A1)方向陡度最大,故在此方向继续试验。只有不断扩大探测范围,反复探测,才能找到最优点。 |