网站首页  词典首页


请输入您要查询的字词:

 

字词 除尘系统总效率的计算
类别 中英文字词句释义及详细解析
释义 除尘系统总效率的计算

[说明]在实际生产中,往往除尘设施一次处理不能满足需要,要将多个除尘设施串联使用,成为多级除尘器。

式中 η1——总除尘效率(%)

η1、η2、ηn——分别表示第1、第2及第n个除尘器的除尘效率

n——除尘器串联个数

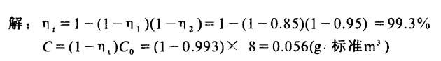
[例]某厂装有二级除尘器,其除尘效率分别为85%和95%,计算该除尘系统的总除尘效率。若进口浓度为8g/标准m3,出口浓度为多少?(不考虑除尘系统漏风系数)。

随便看

 

离鸟网收录3541549条中英文词条,其功能与新华字典、现代汉语词典、牛津高阶英汉词典等各类中英文词典类似,基本涵盖了全部常用中英文字词句的读音、释义及用法,是语言学习和写作的有利工具。

 

Copyright © 2004-2024 vtrois.com All Rights Reserved
更新时间:2026/5/31 20:52:33