网站首页  词典首页


请输入您要查询的字词:

 

字词 随机振动
类别 中英文字词句释义及详细解析
释义 随机振动

无法用确定性函数,须用概率统计方法定量描述其运动规律的振动。

随机振动的研究,是从质点的布朗运动开始的。随后,爱因斯坦对不规则的运动用概率的规律进行分析。

从1923年维纲开始把布朗运动作为随机过程来研究,逐步构成了随机过程和应用上的两种基本类型。

美国早在1958年和1963年在麻省理工学院举行了两次随机振动国际会议,从此随机振动理论就作为一门新的学科诞生了。

1965年库利(Cooley)和图基(Tukey)提出快速傅里叶变换算法之后,随著计算机的高速发展以及,信号处理机进入新的阶段等,这些都极为有效地推动了随机振动理论在工程中的应用,使宇航、航空、船舶、车辆、机械、建筑、仪表等学科的研究提高了层次。

随机振动的问题包括:(1)响应预测,即已知激励和系统的物理参数,求响应;(2)系统识别,即已知激励和响应,求系统的动态特性;(3)环境调查,即已知响应和系统的动态特性,求激励。

随机振动与确定性振动的研究方法有明显的不同。前者难度大、概念的意义深、适用面广。

随机振动通常用概率反映随机事件出现可能性的大小。将随机事件的结果用数量描述,就得出随机变量的概念,故又称随机过程。而随机振动仅是随机过程的一种例子。

假设在一定条件下重复某个随机试验(如车辆在道路上的行驶试验),得到系统响应(如乘座的铅垂加速度或驾驶盘的角加速等)的一次次时间历程,用Xn(t表示,)n=1,2,…对于不同的n都可以看作一个样本,而这大量的样本构成一个集合,记为X(t),它等于[X1(t),X2(t),…,Xn(t)],用它代表一个随机过程。

对于随机现象,人们感兴趣的往往不是各个样本本身,而是这些样本总体得出的统计特性。例如,以随机函数X在瞬时t取值不大于X的概率,可定义一维概率分布函数

F(x,t)=Prob[X(t)≤x]

并由此导出一维概率密度函数

类似地,可定义多维概率分布函数与密度函数。

从随机函数的概率密度函数又可确定各种统计的数字特征,例如各次矩可以定义如下:

记号E[ ]表示集合平均。

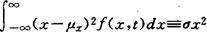
可见,一次矩即随机函数的平均值ux;二次矩即均方值;而二次中心矩

称为方差,它的平方根δx常称为标准差。

平均差反映过程的总倾向;均方值往往与总体平均能量相联系;方差即表示总体动态的能量又表征随机变量的分散程度。

平均特性又需区分集合平均和时间平均。

根据统计特性是否随采样时间原点的选取而变化,随机过程可分为非平稳过程和平稳过程。根据集合平均特性是否等同于时间平均特性,随机过程又可分为各态历经的和非各态历经的。

各态历经的随机过程一定是平稳的;反之则不一定。

在各种统计平均特性中,最重要的是相关函数和功率谱密度。一个随机振动的样本可以看作大量数目的具有随机振幅与相位的谐和振动之和。它的总功率就等于各阶谐和分量之和。

人们在研究和描述过程中最感兴趣的是找出这种功率如何按频度分布。平稳随机过程X[t]的自相关函数Rx(τ)定义为乘积x(t)x(t+τ)的集合平均值。它是时间坐标移动值C的函数,反映相隔τ的两个时刻的随机变量之间线性相关程度,同时它还蕴藏著随机过程中各个谐和分量频率和平均功率的信息。将自相关函数进行傅里叶变换,便得到频域信息的自动频谱密度Sx(f),简称自谱,它能描述随机过程的平均功率按频率的分布规律。

公式为

逆傅里叶变换

当τ=0时

由此可见,Sx(f)曲线下的面积正是均方值。

自相关和自谱是同一个随机过程得到的统计特性,类似地可以定义两个不同随机过程健X和Y之间的互相关函数Rxy(τ)和互谱Sxy(f)。

从互谱还可以定义相干函数

相干函数是比相关函数更为有用和有效的信息。它分为常相干函数、多重相干函数和偏相干函数。常相干函数的主要用途有:(1)判别单输入输出系统是否为线性;(2)研究输入与输出是否相关;(3)识别系统的频率响应是否可信;(4)衡量测试环境的噪声有否超出不允许的量级。多重相干函数用于多输入单输出系统,评价各输入提供输出的比重。偏相干函数用于多输入多输出系统,评价各传递通道是否线性、频率响应函数是否可信、此输入与彼输出是否相关以及测试环境的噪声有否超出不允许的量值等。

随机过程中的一类特别重要的过程,称为正态过程,亦称高斯过程,平稳正态的一维概率密度函数可表示为

正态过程在工程中大量存在,它的数学表示式可以规格化,并完全取决于标准差σx和数学期望μx。

随机振动的许多激振源(如大气湍流、海浪、路面等)都可以看作正态随机过程。用正态随机激励于系统产生的响应,可以识别此系统是线性还是非线性。

常系数性系统在平稳随机激励X作用下,产生平稳随机响应Y的单输入、单输出问题,有如下关系

Sy(f)=|H(f)|2Sx(f)

Sxy(f)=H(f)·Sx(f)

式中H(f)是系统的频率响应函数。

线性时不变系统受多个平稳随机输入作用,产生多个平稳随机输出时的多输入、多输出问题,有如下矩阵形式的关系

[Sy(f)]=[H*(f)][Sx(f)][H(f)]T

[Sxy(f)]=[Sx(f))]·[H(f)]T

式中*表示共轭,T表示转置。应用自谱和互谱评价车辆转向机构的操纵性问题、互相关函数确定各传递通道提供响应的比重、响应自谱确定振动的频率结构、知道地震激励求结构物的响应自谱和均方值等。

线性时变系统受多个非平稳随机输入,产生多个非平稳随机输出时,有如下矩阵形式的关系

[Sy(f1,f2)]=[H*(f1,f2)][Sx(f1,f2)][H(f2,t)]T

[Sxy(f1,f2)]=[Sx(f1,f2)][H(f,t)]T

式中[H(f,t)]为时变系统的频率响应矩阵,[Sx(f1,f2)]为双频率响应谱矩阵,[Sy(f1,f2)]为双频率响应谱矩阵。

电视塔或快艇杆受随机风力作用时的响应、变质量火箭发动机在推力有机分量时的振动、变速运动运载工具(汽车、拖拉机、坦克、火车、工程行走机械等)的非平稳(起动或制动)随机振动、有机干摩擦存在时的非平稳随机振动响应的最大可能值问题等都是非平稳随机振动的应用。

对于非线性系统受白噪声随机激励时的振动问题,它的分类既不像确定性振动用自由度由少到多分类,也不像性系统随机振动用输入和输出由少到多进行分类,而是按响应的马尔可夫过程维数进行分类。

对于一维(半自度系统,单自由度系统就是两维,两自由度系统就是四维,依此类推)非线性系统受白噪声激励时,响应用条件概率密度函数表示偏微分方程,简称FP方程,又称FPK方程。FP方程既适用于求强非线性系统的响应,又能求线性系统的响应,但响应都须具有马尔可夫性质。

例如对于一维马尔可夫随机过程的FP方程为

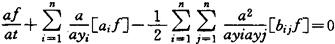
式中f=f(y,t|y0,t0)为条件概率密度函数;y为t时刻的响应;y0为初始时刻t0的响应;a1和b1为系数,取决于激励的概率特征(如数学期望、标准差、相关函数、自谱等)和系统的物理参数(如质量、阻尼和刚度等)。响应是多维马尔可夫随机过程的FP方程为

式中f为多维条件概率密度函数,系数ai和bij分别为

式中yi、yj为t时刻的响应;Zi、Zj为(t+λ)时刻的响应;E为集合平均算符。

用FP方程建立非线性系统激励、系统、响应三者关系的偏微分方程是精确的,可以一次求出响应的非平稳随机过程信息和平稳随机过程信息。有随机成分的发动机转速的传递方程、存在滚体非线性阻尼的系统在随机激励作用下的振动方程、装有非线率弹簧隔离仪器的随机振动方程、有干摩擦阻尼力作用时的车辆随机振动方程等都可转换为FP方程求解。

非线性系统的随机振动问题由于求解上很困难,因而发展了各种近似解法,如Fourier级数的Rice法、等价线性化方法、摄动法、高斯矩闭合法、Mone Carlo法,以及平均法等。每种方法都只能在特定条件下求解特殊问题为最佳,至今尚未找到普通运用的近似法。

当振动系统的特性参数是随机变量时,这种系统称为随机系统。随机系统的问题可以分为在集中参数系中质量、弹簧常数、阻尼系数等是随机参数或在分布参数系中特性参数是随机的情形。在随机系统中除了研究系统输出的统计性质,还要讨论系统的稳定性。工程中的梁或柱由于材料特性、形状尺寸和交承条件是随机的,所以是随机参数系统的固有值问题。船上钢丝悬挂的声纳,由于海浪引起悬挂点发生随机运动,这个声纳系统也是随机参数系统。

随机响应的统计特性还可用于可靠性设计,可使产品以给定的概率在规定条件下和在规定时间内成功地完成规定的功能。

常用的有强度可靠设计、振动可靠性设计和控制可靠性设计等。

【参考文献】:

1 Crandall S H, Mark W D. Random Vibration in Mechanical Systems, Academic Press, 1963

2 下乡太朗.随机振动.力学参考文献资料三.北京:科技文献出版社,1976

3 具达脱JS,皮尔索AG,著.随机数据分析方法.凌福根译.北京:国防工业出版社,1978

4 Haugen E B,Probabilistic Mechanical Design. New York. 1980

5 Roberts J B,Shock and vibration Digest, 1981,13(5):15~ 29

6 Roberts J B,Shock and vibration Digest, 1981,13(5):15~ 29

7 Hammond J K, Harrison R F. IEEE, 1985

8 Yang C Y,Random Vibration of structures. A Wiley Inter-science Publication New York, 1986

9 庄表中,陈乃立,高瞻.非线性随机振动理论及其应用.杭州:浙江大学出版社,1986

(庄表中撰)

随便看

 

离鸟网收录3541549条中英文词条,其功能与新华字典、现代汉语词典、牛津高阶英汉词典等各类中英文词典类似,基本涵盖了全部常用中英文字词句的读音、释义及用法,是语言学习和写作的有利工具。

 

Copyright © 2004-2024 vtrois.com All Rights Reserved
更新时间:2026/5/27 22:57:09