网站首页  词典首页


请输入您要查询的字词:

 

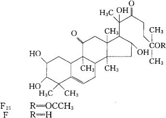
字词 雪胆素[典]
类别 中英文字词句释义及详细解析
释义 雪胆素[典]

C32H50O8=562.72

二氢葫芦素F25乙酸酯与5-二氢葫芦素F的化合物。

Compound of dihydrocucurbitacin F-25-acetate with5-dihydrocucurbitacin F.

抗菌药。用于菌痢、肠炎、急性扁桃体炎等。

Hemsleyadin,Xuedanine.

雪胆素片。

随便看

 

离鸟网收录3541549条中英文词条,其功能与新华字典、现代汉语词典、牛津高阶英汉词典等各类中英文词典类似,基本涵盖了全部常用中英文字词句的读音、释义及用法,是语言学习和写作的有利工具。

 

Copyright © 2004-2024 vtrois.com All Rights Reserved
更新时间:2026/4/7 2:32:58