零隔距卜氏强力
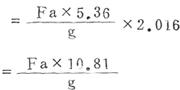
是卜氏束纤维强力机测得的强力指标之一,即夹持器的两夹片之间隔距为零时所测得的强力(或称卜氏束纤维强力)。 零隔距强力结果较为稳定,故国际棉花贸易中多采用此指标表明纤维强力水平。但缺点是其与棉纺工艺理论(棉纤维在成纱中受力性质)吻合程度较低。 零隔距时的卜氏强力有以下几种指标:已知卜氏指数等于断裂强力(磅力)与小棉束重量(毫克)之比,即:  另已知:σ=10.81·I  断裂比强度Ps(克力/特克斯)可用下式求得:  Ps=σ×0.496(此式可采用代入法证明)  故Ps=σ×0.496成立 σ=Ps×2.016(此式可采用代入法证明):  又因 为I 即上式为σ=I·10.81 故σ=Ps×2.016成立 式中,I为卜氏指数,Fa为断裂强力(磅力),Ps为断裂比强度(克力/特克斯), 为断裂应力(千磅力/平方英寸),g为小棉束重量(毫克)。 |