网站首页  词典首页


请输入您要查询的字词:

 

字词 雷利托林
类别 中英文字词句释义及详细解析
释义 雷利托林

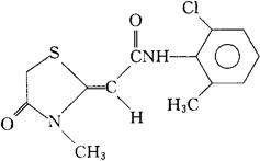
C13H13ClN2O2S=296.77

CAS-93738-40-0

(Z)-N-(2-氯-6甲苯基)-2-(3-甲基4-氧代-2噻唑烷基亚基)乙酰胺。

(Z)-N-(2-Chloro-6-methylphenyl)-2-(3-methyl-4-oxo-2-thiazolidinylidene)acetamide.

(Z)-6′-氯-3-甲基-4-氧代-△2,α-噻唑烷乙酰-邻-甲苯胺。

(Z)-6′-Chloro-3-methyl-4-oxo-△2,α-thiazolidineaceto-o-toluidide.

抗惊厥药。

Ralitoline,Cl-946,GO 4942,PD 117818.

INN,USAN.

随便看

 

离鸟网收录3541549条中英文词条,其功能与新华字典、现代汉语词典、牛津高阶英汉词典等各类中英文词典类似,基本涵盖了全部常用中英文字词句的读音、释义及用法,是语言学习和写作的有利工具。

 

Copyright © 2004-2024 vtrois.com All Rights Reserved
更新时间:2026/4/8 1:29:35