网站首页  词典首页


请输入您要查询的字词:

 

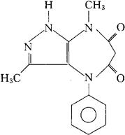
字词 雷唑巴占
类别 中英文字词句释义及详细解析
释义 雷唑巴占

C14H14N4O2=270.29

CAS-78466-98-5

4,8-二氢-3,8-二甲基-4-苯基吡唑并[3,4-b][[1,4]二氮杂-5,7(1H,6H)-二酮。

4,8-Dihydro-3,8-dimethyl-4-phenylpyrazolo[3,4-b][1,4]diazepine-5,7(1H,6H)-dione.

促智能药,思维增强药。

Razobazam,Hoe 175,HR 175.

INN,USAN.

随便看

 

离鸟网收录3541549条中英文词条,其功能与新华字典、现代汉语词典、牛津高阶英汉词典等各类中英文词典类似,基本涵盖了全部常用中英文字词句的读音、释义及用法,是语言学习和写作的有利工具。

 

Copyright © 2004-2024 vtrois.com All Rights Reserved
更新时间:2026/4/8 17:34:02