网站首页  词典首页


请输入您要查询的字词:

 

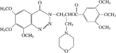
字词 雷嗪地尔
类别 中英文字词句释义及详细解析
释义 雷嗪地尔

C27H34N4O10=574.59

CAS-30271-85-3

3,4,5-三甲氧苯甲酸1-(4-吗啉甲基)-2-(6,7,8-三甲氧-4-氧代-1,2,3-苯并三嗪-3(4H)-基)乙酯。

1-(4-Morpholinylmethyl)-2-(6,7,8-trimethoxy-4-oxo-1,2,3-benzotriazin-3(4H)-yl)ethyl3,4,5-trimethoxybenzoate.

3,4,5-三甲氧基苯甲酸与3-(2-羟-3-吗啉代丙基)-6,7,8-三甲氧-1,2,3-苯并三嗪-4(3H)-酮的酯。

3,4,5-Trimethoxybenzoic acid ester with 3-(2-hydroxy-3-morpholinopropyl)-6,7,8-trimethoxy-1,2,3-benzotriazin-4(3H)-one.

冠脉扩张药,抗心绞痛病药。

Razinodil,CAS 7709.

INN,USAN.

随便看

 

离鸟网收录3541549条中英文词条,其功能与新华字典、现代汉语词典、牛津高阶英汉词典等各类中英文词典类似,基本涵盖了全部常用中英文字词句的读音、释义及用法,是语言学习和写作的有利工具。

 

Copyright © 2004-2024 vtrois.com All Rights Reserved
更新时间:2026/4/8 23:37:58