雷米普利
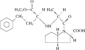
C23H32N2O5=416.52 CAS-87333-19-5 [2S-[1[R*(R*)],2α,3aβ,6aβ]]-1-[2-[[1-(乙氧基 羰基)-3-苯基丙基]氨基]-1-氧代丙基]八氢环戊二烯并[b]吡咯-2羧酸。 [2S-[1[R*(R*)],2α,3aβ,6aβ]]-1-[2-[[1-(Ethoxycarbonyl)-3-phenylpropyl]amino]-1-oxopropyl]octahydrocyclopenta[b]pyrrole-2-carboxylic acid. (2S,3aS,6aS)-1[(S)-N-[(S)-1-羟基-3苯基丙基]丙氨酰]八氢环戊烷并[b]-吡咯-2-羧酸,1-乙基酯。 (2S,3aS,6aS)-1-[(S)-N-[(S)-1-Carboxy-3-phenylpropyl]alanyl]octahydrocyclopenta[b]pyrrole-2-carboxylic acid,1-ethyl ester. 抗高血压药。 Ramipril,HOE 498. INN,BAN,USAN.  |