网站首页  词典首页


请输入您要查询的字词:

 

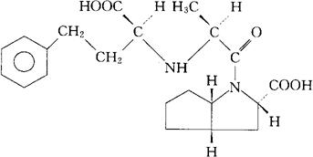
字词 雷米普利拉
类别 中英文字词句释义及详细解析
释义 雷米普利拉

C21H28N2O5=388.46

CAS-87269-97-4

(2S,3aS,6aS)-1-[(S)-N-[(S)-1-羧-3-苯基丙基]丙氨酰]八氢环戊烷并[b]吡咯-2-羧酸。

(2S,3aS,6aS)-1-[(S)-N-[(S)-1-Carboxy-3-phenylpropyl]alanyl]octahydrocyclopenta[b]pyrrole-2-carboxylic acid.

抗高血压药,增压素转化酶抑制药。

Ramiprilat.

INN,USAN.

随便看

 

离鸟网收录3541549条中英文词条,其功能与新华字典、现代汉语词典、牛津高阶英汉词典等各类中英文词典类似,基本涵盖了全部常用中英文字词句的读音、释义及用法,是语言学习和写作的有利工具。

 

Copyright © 2004-2024 vtrois.com All Rights Reserved
更新时间:2026/4/7 2:35:27