网站首页  词典首页


请输入您要查询的字词:

 

字词 雷诺数
类别 中英文字词句释义及详细解析
释义 雷诺数

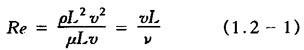
雷诺数Re是一个反映粘性力相似的相似准则,它是流体惯性力与粘性力之比的无量纲数。

由(1.2-1)式可知,当雷诺数很小时,相对于惯性力而言,流体的粘性力的作用是主要的,整个流动中粘性力起主导作用。反之,当雷诺数很大时,说明惯性力是主要的,粘性力只在边界层或速度梯度较大的流动区域才有作用。

对于圆管流动时,其特征长度L为圆管的内径d,此时

(1)水力直径

对于非圆形管道的雷诺数表达式中的特征长度则用水力直径dH来表示,即

式中 A——过流断面面积;

x——过流断面上流体与固体相润湿的周界长,称为湿周。

水力直径dH是一个反映过流断面上水力特性的综合参数。在液压元件设计中常用到,如设计液压阀的过流断面时,应使dH愈大愈好,这样的断面其过流能力大而阻力小。而在设计阻尼元件时应使dH小些。常用管道的水力直径见表1.2-1。

表1.2-1 几种管道的水力直径与下临界雷诺数

(2)临界雷诺数

当流体的惯性力与粘性力之比不同时,流动状态会互相转变,判别流动状态转变时的雷诺数,称之为临界雷诺数。当流动由层流转变为湍流时的雷诺数,称为上临界雷诺数,而由湍流转变为层流时数值,称为下临界雷诺数Rec

在工程设计中,只用下临界雷诺数Rec来判别流动状态。

当Re<Rec时,流动是层流;

Re>Rec时,流动是湍流。

几种常用的管道的下临界雷诺数Rec值见表1.2-1。

在自然界中,多数流动为湍流,而在液压工程中,由于管径或缝隙尺寸较小,流速较低,而油液的粘度又较大时,则常出现层流。

随便看

 

离鸟网收录3541549条中英文词条,其功能与新华字典、现代汉语词典、牛津高阶英汉词典等各类中英文词典类似,基本涵盖了全部常用中英文字词句的读音、释义及用法,是语言学习和写作的有利工具。

 

Copyright © 2004-2024 vtrois.com All Rights Reserved
更新时间:2026/4/5 15:19:18