网站首页  词典首页


请输入您要查询的字词:

 

字词 需求是随机离散时的经济批量
类别 中英文字词句释义及详细解析
释义 需求是随机离散时的经济批量

指库存系统中需求速度为非确定的情况下,经济批量的选择问题。

当需求是随机离散时,其订货量可依下法确定:

设订货量为Q,实际需求量为q,q是随机离散变化的。

(1)若订货Q≥q,则供过于求,需付出报废损失,设单位货物报废损失为C1,则损失期望值为:

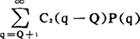
(2)若订货Q<q,则供不应求,要付出机会损失,设单位货物机会损失为C2,则损失期望值为:

(3)由总损失最小,确定最佳订购量Q*

总损失期望值:

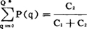
用差分法求极值,得最佳订购量Q*可由下式确定:

上式P(q),C1,C2均为已知,故只要知道库存系统需求的概率分布P(q),即可计算出经济批量Q*

随便看

 

离鸟网收录3541549条中英文词条,其功能与新华字典、现代汉语词典、牛津高阶英汉词典等各类中英文词典类似,基本涵盖了全部常用中英文字词句的读音、释义及用法,是语言学习和写作的有利工具。

 

Copyright © 2004-2024 vtrois.com All Rights Reserved
更新时间:2026/4/7 1:17:05