网站首页  词典首页


请输入您要查询的字词:

 

字词 露蕊乌头
类别 中英文字词句释义及详细解析
释义 露蕊乌头

【概况】:

异名 罗砧巴(藏名)。

基源 为毛茛科乌头属植物露蕊乌头带块根的全草。

原植物 露蕊乌头Aconitum gymnandrum Maxim.(A.gymnandrum f.leucanthum W.T.Wang)

形态 根一年生,近圆柱形,长5~14cm,直径1.5~4.5mm。茎高(6~)25~55(100)cm,等距地生叶,常分枝。

基生叶1~3(~6)枚;叶片宽卵形或三角状卵形,长3.5~6.4cm,宽4~5cm,3全裂,全裂片二至三回深裂,小裂片狭卵形至狭披针形;下部叶柄长4~7cm,上部的叶柄渐变短,具狭鞘。总状花序有6~16朵花;基部苞片似叶,其他下部苞片3裂,中部以上者披针形至线形;花梗长1~5(~9)cm;小苞片生花梗上部或顶部,叶状至线形,长0.5~1.5cm;萼片蓝紫色,少有白色,有较长爪,上萼片船形,高约1.8cm,爪长约1.4cm,侧萼片长1.5~1.8cm,瓣片与爪近等长;花瓣的瓣片宽6~8mm,矩短,头状;心皮6~13,子房有柔毛。蓇葖长0.8~1.2cm;种子倒卵球形,长约1.5mm,密生横狭翅。

花期6~8月。(图见《中国植物志》,27卷,324~326页,图版77∶1~3)

生境与分布 生于海拔1550~3800m间山地草坡、田边草地或河边砂地。分布于青海、甘肃南部、四川西部及西藏。

【生药】:

采集 花期采收花及叶,秋季采挖根,除去杂质,晒干。

【化学】:

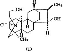
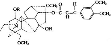
含生物碱[4]。包括氯化阿替生季胺碱(Atisinium chloride)(1)[1]、露乌碱(Gymnaconitine)(2)、甲基露乌碱(Methyl gymnaconitine)(3)和塔拉乌头胺(Talatisamine)[2,3]

(2)R=H

(3)R=CH3

参考文献 [1] 兰州大学学报 1983;19(4)∶183 [2] 中草药 1985;16(1)∶11 [3] 药学学报 1986;21(4)∶279 [4] 植物分类学报 1991;29(2)∶97

【药性】:

性味 辛,温。

有大毒。

归经 入肺、脾、肾经。

功效 祛风镇痛。

主治 根:风湿麻木,关节疼痛。

花:麻风。叶:内服驱虫;研末,撒布治疥癣。

用法用量 内服:浸酒,根、茎:1.2~3g。外用:研末撒患处。

。【临床应用】:

方选和验方 《高原中草药治疗手册》:“治风湿麻木:露蕊乌头根1.2~3g。泡酒服。或配麻黄、黄芪,泡酒服。

随便看

 

离鸟网收录3541549条中英文词条,其功能与新华字典、现代汉语词典、牛津高阶英汉词典等各类中英文词典类似,基本涵盖了全部常用中英文字词句的读音、释义及用法,是语言学习和写作的有利工具。

 

Copyright © 2004-2024 vtrois.com All Rights Reserved
更新时间:2026/4/5 15:43:59