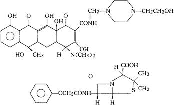
青哌环素
C45H56N6O14S=937.03 CAS-4599-60-4 4-(二甲氨基)-1,4,4a,5,5a,6,11,12a-八氢-3,6,10,12,12a-五羟-N-[[4-(2-羟乙基)-1-哌嗪基]甲基]-6-甲基-1,11-二氧代-2-萘甲酰胺盐与苯氧甲基青霉素成盐。 4-(Dimethylamino)-1,4,4a,5,5a,6,11,12a-octahydro-3,6,10,12,12a-pentahydroxy-N-[[4-(2-hydroxyethyl)-1-piperazinyl]methyl]-6-methyl-1,11-dioxo-2-naphthacenecarboxamide salt with phenoxymethylpenicillin. 抗生素类药。 Penimepicycline,Criseocil,Geotricyn,Mepenicycline,Olimpen,Penetracyne. INN,DCF,USAN,MI. 
|