网站首页  词典首页


请输入您要查询的字词:

 

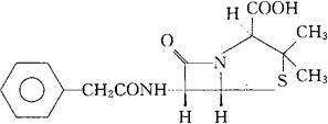
字词 青霉素
类别 中英文字词句释义及详细解析
释义 青霉素

C16H18N2O4S=334.39

CAS-61-33-6

(2S,5R,6R)-3,3-二甲基-7-氧代-6-(2-苯乙酰胺基)-4-硫杂-1-氮杂双环[3.2.0]庚烷-2-羧酸。

(2S,5R,6R)-3,3-Dimethyl-7-oxo-6-(2-phenylacetamido)-4-thia-1-azabicyclo[3.2.0]hepetane-2-carboxylic acid.

抗生素类药。用于治疗菌血症、败血症、猩红热、丹毒、肺炎、脓胸、扁桃体炎、中耳炎、蜂窝组织炎、疖痈、急性乳腺炎、心内膜炎、骨髓炎、流行性脑膜炎、钩端螺旋体病、奋森氏咽峡炎、创伤感染、梅毒、回归热、气性坏疽、炭疽、淋病、放线菌病等。

苄青霉素,配尼西林,青霉素G。

Benzylpenicillin,Penicillin,Penicillin G.

INN,BAN,BP,GDP,JP,IP,USP,USAN,MI.

随便看

 

离鸟网收录3541549条中英文词条,其功能与新华字典、现代汉语词典、牛津高阶英汉词典等各类中英文词典类似,基本涵盖了全部常用中英文字词句的读音、释义及用法,是语言学习和写作的有利工具。

 

Copyright © 2004-2024 vtrois.com All Rights Reserved
更新时间:2026/4/7 11:13:19