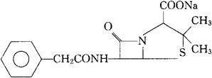
青霉素钠[典]
C16H17N2NaO4S=356.37 CAS-69-57-8 (2S,5R,6R)-3,3-二甲基-7-氧代-6-(2-苯乙酰胺基)-4-硫代-氮杂双环[3.2.0]庚烷-2-羧酸单钠盐。 Monosodium(2S,5R,6R)-3,3-dimethyl-7-oxo-6-(2-phenylacetamido)-4-thia-1-azabicyclo[3.2.0]heptane-2-carboxylate. 抗生素类药。用于链球菌、肺炎球菌、脑膜炎球菌的感染。 青霉素G钠,苄青霉素钠。 Penicillin G Sodium,Benzylpenicillin Sodium,Peni cillin Sodium Crystalline, Sodium Benzylpenicillinate。 注射用青霉素钠(注射用苄青霉素钠),苄青霉素片,苄青霉素眼膏(软膏)。 BAN,USAN,MI. 
|