网站首页  词典首页


请输入您要查询的字词:

 

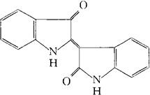
字词 靛玉红[中]
类别 中英文字词句释义及详细解析
释义 靛玉红[中]

C16H10N2O2=262.26

3-(1,3-二氢-3-氧代-2H-吲哚-2-亚基)-1,3-二氢-2H-吲哚-2-酮。

3-(1,3-Dihydro-3-oxo-2H-indol-2-ylidene)-1,3 dihydro-2H-indol-2-one.

抗肿瘤药。用于治疗慢性粒细胞白血病。

炮弹树碱B。

Indirubin,Couroupitine B.

靛玉红片。

随便看

 

离鸟网收录3541549条中英文词条,其功能与新华字典、现代汉语词典、牛津高阶英汉词典等各类中英文词典类似,基本涵盖了全部常用中英文字词句的读音、释义及用法,是语言学习和写作的有利工具。

 

Copyright © 2004-2024 vtrois.com All Rights Reserved
更新时间:2026/4/6 23:01:19