网站首页  词典首页


请输入您要查询的字词:

 

字词 非圆齿轮机构
类别 中英文字词句释义及详细解析
释义 非圆齿轮机构

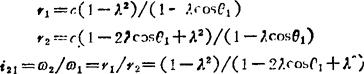
例5.2-25 椭圆齿轮机构

图中两相同椭圆齿轮以各自焦点为回转中心,其回转中心距离a等于椭圆的长轴,即a=2c。若椭圆齿轮焦点距离为2e,椭圆的偏心率λ=e/c,传动中两椭圆齿轮瞬心线作纯滚动,短轴长为2b,向径与极角的关系为

可见,其传动比i21为周期性变化。常用于自动机、印刷机等。

例5.2-26 卵形齿轮机构

以卵形齿轮的几何中心O1、O2作为回转中心的齿轮机构,具有较好的平衡性。中心距为a=b+c,向径r1与极角θ1的关系为:

r1=2bc/〔(b+c)+(b-c)cos2θ1

随便看

 

离鸟网收录3541549条中英文词条,其功能与新华字典、现代汉语词典、牛津高阶英汉词典等各类中英文词典类似,基本涵盖了全部常用中英文字词句的读音、释义及用法,是语言学习和写作的有利工具。

 

Copyright © 2004-2024 vtrois.com All Rights Reserved
更新时间:2026/4/6 14:01:50