网站首页  词典首页


请输入您要查询的字词:

 

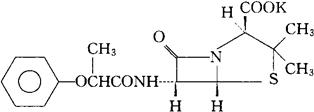
字词 非奈西林钾
类别 中英文字词句释义及详细解析
释义 非奈西林钾

C17H19KN2O5S=402.51

CAS-132-93-4

CAS-147-55-7(phenethicillin)

[2S-(2α,5α,6β)]-3,3-二甲基-7-氧代-6-[(1-氧代-2-苯氧丙基)氨基]-4-噻-1-氮杂双环[3.2.0]庚烷-2-羧酸单钾盐。

[2S-(2α,5α,6β)]-3,3-Dimethyl-7-oxo-6-[(1-oxo-2-phenoxypropyl)amino]-4-thia-1-azabicyclo[3.2.0]heptane-2-carboxylic acid,monopotassium salt.

(2S,5R,6R)-3,3-二甲基-7-氧代-6-(2-苯氧丙酰胺基)-4-硫代-1-氮杂双环[3.2.0]庚烷-2-羧酸单钾盐。

Monopotassium(2S,5R,6R)-3,3-dimethyl-7-oxo6-(2-phenoxypropionamido)-4-thia-1-azabicyclo[3.2.0]heptane-2-carboxylate.

6-(α-苯氧丙酰胺基)青霉素酸单钾盐。

6-(α-Phenoxypropionamide)penicillanic acid monopotassiun salt.

抗生素类药。

苯乙青霉素钾。

Phenethicillin Potassium,Potassium Penicillin-152,Penchim,Alfacillin,Semopen,Synthecilline.

INN(Phenethicilline),BAN,DCF,JAN,USAN,USP,MI.

随便看

 

离鸟网收录3541549条中英文词条,其功能与新华字典、现代汉语词典、牛津高阶英汉词典等各类中英文词典类似,基本涵盖了全部常用中英文字词句的读音、释义及用法,是语言学习和写作的有利工具。

 

Copyright © 2004-2024 vtrois.com All Rights Reserved
更新时间:2026/4/7 4:50:52