网站首页  词典首页


请输入您要查询的字词:

 

字词 非摸索过程
类别 中英文字词句释义及详细解析
释义 非摸索过程

商品和价格随时都在调整的交换过程。

由摸索过程的定义知,仅当均衡价格达到时,经济活动者们才进行商品交换,在均衡价格未达成前的价格调整过程中,因为没有发生商品交换,故每个人持有的财货量一直不变。显然,这种过程过于理想化,比较接近现实的情况是,每宣布一次价格,人们就进行一次商品交换,描述商品价格和个人持有财货量随时进行调整的过程,就是非摸索过程。

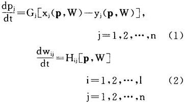
如以p(t)表示t时刻的价格向量,wij(t)表示t时刻第i人拥有第j种商品的数量,用w(t)=[wij(t)]表示以wij为元素的矩阵,则非摸索过程可用下述微分方程组表示:

其中方程(1)表示价格随供求律调整,Gj是保号函数,xj和yj分别为商品j的总需求和总供给;方程(2)描述第i人持有第j种商品的调整(交换)规则。

例如,设仅当消费者能增加他的效用u时,他才进行交换,从而对Hij的要求是使得>0,i=1,2,…,1。这类过程称为艾奇沃什(Edgeworth)过程。

另一类非摸索过程对Hij的要求是使得:(1)(wij)=0,j=1,2,…,n,即市场上任何一种商品的总量不变,和(2)pj=0,i=1,2,…,l,即在价格p(t)上每一个人交换前后的商品价值不变。

这类过程称为哈恩(Hahn)过程。上述两类过程都是稳定的。

随便看

 

离鸟网收录3541549条中英文词条,其功能与新华字典、现代汉语词典、牛津高阶英汉词典等各类中英文词典类似,基本涵盖了全部常用中英文字词句的读音、释义及用法,是语言学习和写作的有利工具。

 

Copyright © 2004-2024 vtrois.com All Rights Reserved
更新时间:2026/5/25 11:00:01