网站首页  词典首页


请输入您要查询的字词:

 

字词 非普罗胺
类别 中英文字词句释义及详细解析
释义 非普罗胺

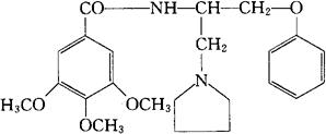
C23H30N2O5=414.50

CAS-54063-41-1

3,4,5-三甲氧-N-[1-(苯氧甲基)-2-(1-吡咯烷基)乙基]苯甲酰胺。

3,4,5-Trimethoxy-N-[1-(phenoxymethyl)-2-(1-pyrrolidinyl)ethyl]benzamide.

抗心律失常药。治疗心律失常。

非普洛米。

Fepromide,1875 CERM.

INN,DCF,USAN.

随便看

 

离鸟网收录3541549条中英文词条,其功能与新华字典、现代汉语词典、牛津高阶英汉词典等各类中英文词典类似,基本涵盖了全部常用中英文字词句的读音、释义及用法,是语言学习和写作的有利工具。

 

Copyright © 2004-2024 vtrois.com All Rights Reserved
更新时间:2026/4/8 0:35:17