非线性回归预测法
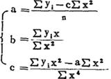
亦称“曲线式最小平方法”,即运用最小二乘法,求出倾向变动曲线,作为外推依据来进行预测。 倾向变动曲线方程一般为: Y=a+bx+cx2 通常用下式求解上式中的a、b、c数值。  有时非线性回归分析可用变量置换办法,把非线性问题转化成线性问题来求解。 例:盛钢水的钢包,在使用过程中,由于钢水的侵蚀,容积不断增大,其使用次数X与钢包容积增大量Y之间的数据如表所示。现要求找出次数X与容积增大量Y之间的关系,并建立预测模型。  从上表可看到,最初容积增大较快,以后逐渐减慢。当然钢包容积不会无限增大,即曲线必有一条平行于X轴的渐近线,选双曲线: 为拟合曲线。 并令  因此可用线性回归类方法求出a和b的值(详见“线性回归分析预测法”)。 计算结果为:a=0.0823b=0.1315 回归方程为:y′=0.0823+0.1315x′  标准离差  按表作散布图如下: 
|