非线性盈亏分析模型
描述 产品的总销售收入和总变动成本在不随著其产销数量增减同比例变动的条件下,存在于各盈亏分析因素之间非线性关系的数学表达式。 设某种产品的单位销售价格为S=S1-S2Q,单位变动成本为V=V1+V2Q,固定成本为F,则总销售收入和总变动成本与固定成本同产销数量Q之间为二次曲线关系。计算如下: QS=(S1-S2Q)Q=S1Q-S2Q2 QV+F=(V1+V2Q)Q+F=V1Q+V2Q2+F 则在盈亏平衡点的产销数量Q*应满足下列方程: S1Q-S2Q2-V1Q-V2Q2-F=0 移项得 -(S2+V2)Q2+(S1-V1)Q-F=0 这是一个一元二次方程,有两个根 和 ,分别称为第一个盈亏平衡点和第二个盈亏平衡点如下图所示:  当产销数量Q小于 或大于 时为亏损,当 时为盈利。 与 之间为盈利区。
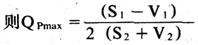
为求最大盈利时的产销数量QPmax,令, P=-(S2+V2)Q2+(S1-V1)Q-F P′=-2(S2+V2)Q+(S1-V1)=0  Pmax=-(S2+V2)Qpmax+(Si-Vj)QPmaxx-F |