网站首页  词典首页


请输入您要查询的字词:

 

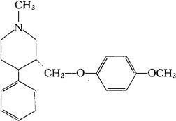
字词 非莫西汀
类别 中英文字词句释义及详细解析
释义 非莫西汀

C20H25NO2=311.42

CAS-59859-58-4

(+)-反式-3-[(对-甲氧苯氧)甲基]-1-甲基-4-苯基哌啶。

(+)-trans-3-[(p-Methoxyphenoxy)methyl]-1-methyl-4-phenylpiperidine.

抗抑郁药。

Femoxetine.

INN,USAN,MI.

随便看

 

离鸟网收录3541549条中英文词条,其功能与新华字典、现代汉语词典、牛津高阶英汉词典等各类中英文词典类似,基本涵盖了全部常用中英文字词句的读音、释义及用法,是语言学习和写作的有利工具。

 

Copyright © 2004-2024 vtrois.com All Rights Reserved
更新时间:2026/5/25 12:59:31