网站首页  词典首页


请输入您要查询的字词:

 

字词 非贴现现金流量指标
类别 中英文字词句释义及详细解析
释义 非贴现现金流量指标

非贴现现金流量指标,是采用非贴现现金流量法评价固定资产投资效益的指标。非贴现现金流量指标,在计算时不考虑货币时间价值对投资过程的影响,也就是对投资项目(或方案)的现金流量不需用货币时间价值统一换算成同一时点的价值,因而计算方法简单方便。非贴现现金流量指标主要有投资回收期和投资报酬率等指标。

1.投资回收期

投资回收期,是指收回固定资产全部投资所需要的时间。投资回收期越短,说明投资所承担的风险越小,投资效益越好;反之,则投资效益越差。投资回收期是根据固定资产投资总额与未来现金净流量计算的。计算方法分以下两种情况:

(1)未来每年现金净流量相等的情况下计算公式是:

(2)未来每年现金净流量不等的情况下,通过逐年计算各年年末投资余额的方法来确定。

例:某固定资产投资项目,有A、B两个投资方案,投资总额均为100,000元,投资收益期限均为5年。其中A方案5年中每年现金净流量均为40,000元,B方案5年中各年现金净流量分别为20,000元、30,000元、40,000元、50,000元和60,000元。A、B两投资方案的投资回收期分别计算如下:

B方案由于各年的投资收益不同,可采用以下两种方法来确定其投资回收期:

第一种方法:逐年计算投资余额,与投资收入相比。各年末的投资余额即为各年年未尚未收回的投资额。列表计算如下:

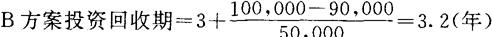
由上表计算可看出,该方案到第3年年末尚有10,000元投资没有收回,需在第4年加以收回。而第4年可收入50,000元,因此10,000元投资只需0.2年即可收回。具体计算如下:

第二种方法:逐年计算投资收入累计,与投资总额相比。当投资收入与投资总额相等所需的时间,即为收回投资的年限。列表计算如下:

由以上计算可见,到第3年末累计收回投资90000元,尚余10000元需在第4年收回。同样,只需第4年中前1/5时间即可收回。具体计算如下:

2.投资报酬率

投资报酬率是投资报酬额与投资总额的比率,是反映固定资产投资项目(方案)能获得的回报程度的指标。投资报酬率越高,表明投资后的收益越高,其投资效益也越好:反之,投资效益则越差。

固定资产投资报酬率指标,一般有以下几种计算方法:

(1)按年平均净收益与年平均投资额计算:

式中:

其中,投资余额是投资总额扣除逐年折旧额后的余额。

例:某项固定资产投资方案,投资总额为100,000元,各年的投资余额及净收益如下表:

(2)按年平均净收益与投资总额计算:

例:按上例计算如下:

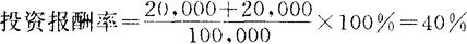
(3)按年平均现金净流量与投资总额计算:

式中:

例:以上述资料为例计算如下:

随便看

 

离鸟网收录3541549条中英文词条,其功能与新华字典、现代汉语词典、牛津高阶英汉词典等各类中英文词典类似,基本涵盖了全部常用中英文字词句的读音、释义及用法,是语言学习和写作的有利工具。

 

Copyright © 2004-2024 vtrois.com All Rights Reserved
更新时间:2026/4/7 9:27:12