网站首页  词典首页


请输入您要查询的字词:

 

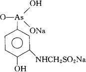
字词 非那胂次硫酸盐
类别 中英文字词句释义及详细解析
释义 非那胂次硫酸盐

C7H8AsNNa2O6S=355.10

CAS-535-51-3

4-羟-间-苯胂酸,与甲醛次硫酸钠盐的化合物。

4-Hydroxy-m-arsanilic acid,compound with sodium formaldehydesulfoxylate.

5-胂羧基-2-(羟苯基)氨基甲亚磺酸二钠盐。

5-Arsono-2-(hydroxyphenyl)aminomethanesulfinic acid disodium salt.

抗感染药,抗阿米巴药。

Phenarsone Sulfoxylate,Aldarsone.

INN,USAN,MI.

随便看

 

离鸟网收录3541549条中英文词条,其功能与新华字典、现代汉语词典、牛津高阶英汉词典等各类中英文词典类似,基本涵盖了全部常用中英文字词句的读音、释义及用法,是语言学习和写作的有利工具。

 

Copyright © 2004-2024 vtrois.com All Rights Reserved
更新时间:2026/4/8 20:51:30