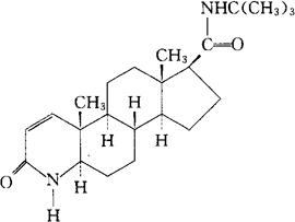
非那雄胺
C23H36N2O2=372.55 CAS-98319-26-7 N-(1,1-二甲基乙基)-3-氧代-4-氮杂雄甾-1-烯-17-羧甲酰胺(5α,17β)。 4-Azaandrost-1-ene-17-carboxamide,N-(1,1-dimethylethyl)-3-oxo-,(5α,17β)-. N-叔-丁基-3-氧代-4-氮杂-5α-雄甾-1-烯-17β-羧酰胺。 N-tert-Butyl-3-oxo-4-aza-5α-androst-1-ene-17β-carboxamide. 抗肿瘤药。 Finasteride,MK-906,Proscar. USAN.  |