网站首页  词典首页


请输入您要查询的字词:

 

字词 香楠
类别 中英文字词句释义及详细解析
释义 香楠

【名称出处】:《广西药用植物名录》

【概况】:

基源 为茜草科山黄皮属植物香楠的茎、叶。

原植物 香楠Randia canthioides Champ.ex Benth.

形态 无刺灌木或小乔木,高2~8m。叶对生,纸质,长圆状椭圆形,长7~14cm,宽2~6cm,顶端渐尖,基部阔楔形,两面无毛,背面在脉腋内有时有小窝孔;侧脉4~6对;叶柄长5~10mm;托叶阔三角形,长2~4mm,基部合生,顶端凸尖,脱落。

花序腋生,近伞形花序式排列的聚伞花序,有花3~10余朵,无总花梗或有短的总花梗;苞片和小苞片卵形,基部合生;黄绿色的花具花梗,花梗长6~10mm,无毛;萼管陀螺形,长约3mm,外面被稀疏、紧贴的短柔毛,萼檐杯形,长约3mm,顶部5裂,裂片长约1mm;花冠高脚碟状,冠管长8~10mm,外面无毛,喉部被长柔毛,顶部5裂,裂片卵状长圆形,长4~5mm,开放后外反;花丝极短,花药伸出,长椭圆形,长约3mm;子房2室,每室有胚珠数颗,花柱长约10mm,柱头纺锤形,长约2mm,有槽纹。

浆果球形,直径5~6mm,顶部有环状的萼檐残迹。

种子6~7颗,压扁,有棱。花期4~6月,果期5月至翌年2月。(图见《中国高等植物图鉴》.第4册.235页.图5884)

生境与分布 生于海拔50~1500m的山坡、山谷溪边、丘陵的灌丛或林中。分布于福建、台湾、广东、海南、广西、云南。日本、越南也有分布。

。【化学】:

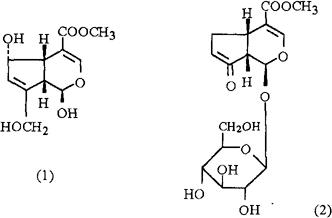
含环烯醚萜类化合物:10去氢栀子甙(10-Dehydrogardenoside)、双聚-10-去氢栀子甙(Dimeric-10-dehydrogardenoside)、去乙酰基去葡萄糖车前草甙酸甲酯(Deacetylasperulosidic acid methyl ester aglycone)(1)、香楠甙(Randioside)(2)。

参考文献 Phytochemistry 1982;21(2):353

【药性】:

功效 行气活血。

主治 茎、叶:跌打损伤。

随便看

 

离鸟网收录3541549条中英文词条,其功能与新华字典、现代汉语词典、牛津高阶英汉词典等各类中英文词典类似,基本涵盖了全部常用中英文字词句的读音、释义及用法,是语言学习和写作的有利工具。

 

Copyright © 2004-2024 vtrois.com All Rights Reserved
更新时间:2026/5/25 10:26:33