网站首页  词典首页


请输入您要查询的字词:

 

字词 高压泵扬程的近似计算
类别 中英文字词句释义及详细解析
释义 高压泵扬程的近似计算

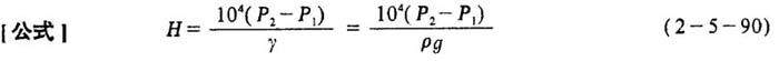
[说明]对于扬程大于50m的高压泵,有时可近似地用泵入口和出口的压力差表示扬程的大小。

式中 H——扬程(mH2O)

P2——泵出口压强(kgf/cm2)

P1——泵入口压强(kgf/cm2)

γ——液体重度(kgf/m3)

ρ——液体容重(kg/m3)

q——重力加速度(9.81m/s2)

随便看

 

离鸟网收录3541549条中英文词条,其功能与新华字典、现代汉语词典、牛津高阶英汉词典等各类中英文词典类似,基本涵盖了全部常用中英文字词句的读音、释义及用法,是语言学习和写作的有利工具。

 

Copyright © 2004-2024 vtrois.com All Rights Reserved
更新时间:2026/4/7 6:59:44