网站首页  词典首页


请输入您要查询的字词:

 

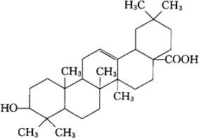
字词 齐墩果酸[中]
类别 中英文字词句释义及详细解析
释义 齐墩果酸[中]

C30H48O3=456.71

CAS-508-02-1

3-羟基-3β-齐墩果-12-烯-28酸。

3-Hydroxy-3β-olean-12-en-28-oic acid.

抗肝炎药。用于治疗急、慢性肝炎。

石竹素。

Oleanolic Acid,Oleanol,Caryophyllin.

齐墩果酸片。

MI.

随便看

 

离鸟网收录3541549条中英文词条,其功能与新华字典、现代汉语词典、牛津高阶英汉词典等各类中英文词典类似,基本涵盖了全部常用中英文字词句的读音、释义及用法,是语言学习和写作的有利工具。

 

Copyright © 2004-2024 vtrois.com All Rights Reserved
更新时间:2026/4/8 23:20:57