网站首页  词典首页


请输入您要查询的字词:

 

字词 2118松香改性酚醛树脂
类别 中英文字词句释义及详细解析
释义

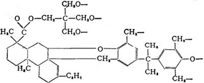
2118松香改性酚醛树脂


别名 326松香改性酚醛树脂

结构式

性能 软化点高,溶解性好,耐泛黄。

质量规格(参考)

用途 使用于油墨、油漆工业中。

包装贮运 50kg木箱或乳胶袋装。贮运中要注意通风,避高热,防水。

国内生产厂 上海新华树脂厂、上海南大化工厂、各大油墨厂。

随便看

 

离鸟网收录3541549条中英文词条,其功能与新华字典、现代汉语词典、牛津高阶英汉词典等各类中英文词典类似,基本涵盖了全部常用中英文字词句的读音、释义及用法,是语言学习和写作的有利工具。

 

Copyright © 2004-2024 vtrois.com All Rights Reserved
更新时间:2026/4/9 1:07:32