网站首页  词典首页


请输入您要查询的字词:

 

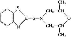
字词 2-(2,6-二甲基-4-吗啉基硫代)苯并噻唑
类别 中英文字词句释义及详细解析
释义

2-(2,6-二甲基-4-吗啉基硫代)苯并噻唑


【结构式】:

【释文】:

性质 褐色絮片状物。微具特殊气味和苦味。分子量280.42。相对密度1.23~1.29。熔点84~88℃。溶于苯、丙酮和氯仿,难溶于乙醇和汽油,不溶于水。无吸湿性。

用途 本品为天然橡胶和丁苯橡胶用迟效性准超速硫化促进剂。效能与用途和次磺酰胺类硫化促进剂NOBS相同。在配合炉法炭黑时,加工安全性提高。主要用于轮胎等制品。

国外生产厂

随便看

 

离鸟网收录3541549条中英文词条,其功能与新华字典、现代汉语词典、牛津高阶英汉词典等各类中英文词典类似,基本涵盖了全部常用中英文字词句的读音、释义及用法,是语言学习和写作的有利工具。

 

Copyright © 2004-2024 vtrois.com All Rights Reserved
更新时间:2026/5/25 7:49:01