网站首页  词典首页


请输入您要查询的字词:

 

字词 亚磷酸-苯·双(壬基苯)酯
类别 中英文字词句释义及详细解析
释义

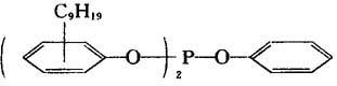
亚磷酸-苯·双(壬基苯)酯


【结构式】:

【释文】:

性质 透明液体。色泽(APHA)<50。磷含量5.52%。相对密度1.025(20℃)。粘度6.27mPa·s(20℃)。凝固点<-5℃。折光率1.5390(20℃)。溶于苯和辛烷,不溶于甲醇和水。

用途 本品可作为聚氯乙烯、聚烯烃、聚苯乙烯、丁苯橡胶和丁腈橡胶的抗氧剂。

国外生产厂

随便看

 

离鸟网收录3541549条中英文词条,其功能与新华字典、现代汉语词典、牛津高阶英汉词典等各类中英文词典类似,基本涵盖了全部常用中英文字词句的读音、释义及用法,是语言学习和写作的有利工具。

 

Copyright © 2004-2024 vtrois.com All Rights Reserved
更新时间:2026/4/7 11:58:13